した、知識 {ちしき} が豊富 {ほうふ} な レベル 5、 発音 ikspíəriənst | ekspíəriənst、 カナ イクスピアリアンストゥ、エクスピアリアンストゥ、エクスペリエンストゥ、 変化 《動》experiences | experiencing | experienced、 分節 ex・pe・ri・enced 単語帳への登録は「英辞郎 on the WEB Pro」でご利用ください。 ,000件まで登録できます。Work Experience Received training of ISO 9000, TS , ISO or other quality system training With the accumulation of the work experience, finding a job is a piece of cake for me Fields experiencing major growth will demand applicants with specific academic majors and work experienceDec , · experience(エクスペリエンス)とは。意味や解説、類語。経験。体験。 goo国語辞書は30万4千件語以上を収録。政治・経済・医学・ITなど、最新用語の追加も定期的に行っています。
Will There S Apparently An Issue Of Blackface Going On Here That Foreigners Are Trying To Parade Against But They Re Missing The Details So I M Going To Explain And Break
Im experienced 意味
Im experienced 意味-Feb 07, 06 · experience in ~ は、「~の分野における経験」と言う意味です。in が、範囲を示しています。 experience of ~ は、「~をした経験、~の経験」ということで、ofが、具体的な動作、対象を表します。Knowledge or skill that you gain from doing a job or activity, or the process of doing this experience of/in/with You've got a lot of experience of lecturing my experience in many areas of the music business He had no previous experience of managing a farm



Lincoln China Doug James
Jul 06, 06 · 哲学の素人の質問ですみません。本を読んでいると、「生きられた世界」「生きられた経験」「生きられた体験」という言葉に出くわすことがあります。英語の本でlived experienceという言葉も見かけたことがありますので、「生きられた」はよお、ドラゴン桜の桜木建二だ。この記事では英語の熟語「come to terns with 」について解説する。 端的に言えばこの熟語の意味は「と折り合いがつく」だが、もっと幅広い意味やニュアンスを理解すると、使いこなせるシーンが増えるぞ。 スタディZNarrow 意味, 定義, narrow は何か 1 having a small distance from one side to the other, especially in comparison with the length もっと見る
〖 experience 〗 The experience will do you good その 経験 はあなたのためになるだろう。 〖 experience 《 in 〜 》〗 《 〜の 》 He has experience in business 彼は 商売の 経験 がある。 〖 experience 《 of 〜 》〗 《 〜の 》 He has experience of foreign travelMost experienced) 1 経験を持った 積 んだ;を(人)と共有 {きょうゆう} する、(人)に自分 {じぶん} の人生経験 {じんせい けいけん} を話して聞かせる 単語帳への登録は「英辞郎 on the WEB Pro」でご利用ください。 ,000件まで登録できます。
Experienced 音節 ex・pe・ri・enced 発音記号・読み方 / ɪkspí (ə)riənst, eks‐ / 発音を聞く 形容詞 (more experienced;But they don't feel guilty for the experience of the affair itself 情事の経験そのものには 罪悪感を覚えないことが分かりましたExperienceは「経験」という意味です。 "I had a nice experience"は「自分にとって、良い経験になりました」という風に訳せます。 ホームステイしていた学生さんは、感謝の気持ちを表しかったので



まずはこの一冊から 意味がわかるベイズ統計学 Beret Science Amazon Com Books



Experiencedの意味 経験を積んだの英語 英会話のベルリッツ
Sep 18, 10 · 「experience」は「経験」や「体験」という意味になります。 That was a difficult experience それは困難な経験だった。 How much experience do you have?Apr 05, 21 · experienced inとは意味 《be ~》~はお手のものである 詳しい意味はこちら→ based on what someone has experienced in life harder than anything someone has experienced in his life



英語 Serious Solemn Grave Earnest 真面目な の意味の違いと使い分け



Grapple グラップル 向き合う 意味解説例文 英単語帳 英熟語帳 英語 社会人講座 東京先生
Experienceの意味を説明します。 Please note that due to the impact of COVID19, we are currently experiencing longer than average processing times for claims COVID19(新型コロナウィルス感染症)の影響により、現在、請求の処理時間が平均より長くなっています。Have experience in ~ で〜の経験があるという意味です。 to be experienced in もよく使われています。 to have experience >名 U (に関する)専門的技術[知識,意見]≪ in , on ≫



経験 の意味とは 体験 との違いや 経験する の類語も解説 Trans Biz



句読法 5分でわかる英語 記号 の意味と用法 ビジネス英語 レコメンタンク
(the process of getting) knowledge or skill from doing, seeing, or feeling things Do you have any experience of working with kids?そこに日本では、どのように英語の単語をexperienced説明していますか? experienced次のように英語の単語は、日本語の意味は次のとおりです。経験豊かな, 経験豊富な。 Meaning of experienced for the defined word 文法的に、この単語"experienced"は 形容詞です。また動詞、より具体的に、→人種差別を経験したことはありますか。「experience」は「経験」という意味の名詞としても使われます。 例 Experience is the best teacher →ことわざ経験は最



Tell と Distinguish の違いは どちらも見分けるという意味だけど



アメリカの黒人女性に聞くタフな質問 読めば年アメリカ社会の全てが分かる 日英両訳付き Live Colorfully
実務に熟達した人 EDR日英対訳辞書 a person who is experienced in office work 発音を聞く 例文帳に追加Travel experience 旅行経験 アルクがお届けするオンライン英和・和英辞書検索サービス。 travel experience の使い方と意味 travel experienceDec , · 1 C (一つ一つの具体的な)経験,体験 have a pleasant bitter experience 楽しい苦い経験をする An experience early on taught me that he was very kind ずっと前の経験から彼がとても親切な人だということがわかった 1a U (一般的に)(の)経験,体験≪ in , on , at , with ≫ three years' experience in business 3年間の実務経験



慣用句 年季が入る の意味や使い方は 例文や類語を現役塾講師が解説 ページ 3 4 Study Z ドラゴン桜と学ぶwebマガジン



英語 Notice Realize Recognize 気づく の意味の違いと使い分け
(= Have you ever worked with them?) The best way to learn is by experience (= by doing things) I know from experience that Tony never keeps his promisesExperienced definition, wise or skillful in a particular field through experience an experienced teacher See moreColleague 意味, 定義, colleague は何か 1 one of a group of people who work together 2 one of a group of people who work together 3 もっと見る



英語のイディオム In Good Handsの意味と使い方 Eigo Lab



Consist Of と Be Composed Of の違い から成る 構成されている 使い方 意味 英語論文 レポート メールの書き方 使える英語表現 フレーズ集
老練な an experienced teacher ベテラン教師 have an experienced eye 目が肥えている, 眼識 が 高い 2Nov 26, 09 · nonexperiencedの意味や使い方 出典『Wiktionary』 ( 10 UTC 版) 語源non experienced 形容詞nonexperienced (not comparable)Not 約1172万語ある英和辞典・和Dec , · experiencedとは。 意味や和訳。 形1 (の)経験豊かな,(に)熟達した≪in,at≫;老練な,百戦練磨の;経験によって得たhave an experienced eye目が肥えているHe is experienced in teaching English彼は英語教授のベテランだ2 耐え抜いた 80万項目以上収録、例文・コロケーションが豊富な無料英和和英辞典。



Ineffable の意味 例文 発音 語源 イメージ画像 Kotoba



英語 Admit Acknowledge Recognize 認める の意味の違いと使い分け
Accountantとは。意味や和訳。名C会計士係(((米))certified public accountant,((英))chartered accountant) 80万項目以上収録、例文・コロケーションが豊富な無料英和和英辞典。Handson experiences are fun for visitors to learn about professionals and help them to have aspirations in relation to jobs 展示体験を通じ、楽しみながら職業人について学び、職業への動機づけを促す。 It contains displays where the visitor can get handson experience relating to various types of work , and provides and announces information regardingMay 30, 18 · 「experience」は「経験する」という意味の動詞です。 例 Have you ever experienced racism?



Rekha Resume



Yoshiko Endo On Instagram すみません あらためて1月の 手作りカードくらす サンプルその1です 出席回数に応じて構図とその意味が変わります 今回もいろいろヨシコワザ入ってます 今回は Poppy Cards Stamping Up Cards Greeting Card Design
Experiencedとは意味 ik'spiəriənst experienced 詳しい意味はこちらあなたはどれぐらいの経験を持っていますか? You must learn from your experiences あなたは自分の経験から学ばないといけない。 「experience」の後に「in」をよくExperience 音節 ex・pe・ri・ence 発音記号・読み方 / ɪkspí (ə)riəns, eks‐ / 発音を聞く 名詞 1 不可算名詞 経験 , 体験 〔 in , of 〕 know by from experience that 経験 によって ということ を 知る gain experience 経験を積む



Have You Ever Experienced Spouse Hunting 意味は 動画で観る 聴く 英語辞書動画 調べたい言葉の検索方法は 下記をご覧ください Youtube



Savage Love 意味 Savage ってどういう意味 今 流行っている英語スラング5選
1 (一つ一つの具体的な)経験, 体験 have a pleasant [a bitter] experienceFor the experience to succeed , i had to get the upper hand 実験の成功の為 私は上手に出るしかなかった;Experienced Internet user インターネット経験 {けいけん} が豊富 {ほうふ} な人 単語帳への登録は「英辞郎 on the WEB Pro」でご利用ください。 ,000件まで登録できます。



英語脳メルマガ 第037号 Despite All I Have Seen And Experienced の意味は 英語脳ネット



アメリカを読む辞書 Resilience
Weblio辞書 experience とは意味経験,体験 例文know by experience that 「experience」の意味・例文・用例ならWeblio英和・和英辞書 experience 経験,体験,(具体的な)経験Experience 名 〔知識や技能を得るために〕体験経験すること 不可算・How much experience do you発音ikspíəriəns | ekspíəriənsカナイクスピアリアンス変化《動》experiences | experiencing | experienced アルクがお届けするオンライン英和・和英辞書検索サービス。Having skill or knowledge because you have done something many times



Acute の意味と簡単な使い方 音読用例文あり 30代40代で身につける英会話



Novelty の意味 使い方 Artisanenglish Jp ネイティブの英語
Jul 13, 18 · experienceは名詞で「経験、体験」の意味で登場することが多く、その場合は日本語の感覚とほぼ同じような感じで使えます。



Efイングリッシュライブ 英語イディオム You Drive A Hard Bargain の意味は A Experienced Driver B Good Negotiator C Very Strong プライベートレッスンでイディオムを学習しよう 無料で使える英語教材はこちら Http Ow Ly Nh0q30irtc9 Efenglishlive



和訳 Are You Experienced The Jimi Hendrix Experience Mv解説 美しい世界 Lovin Each Other S Beautiful Mind You



Characteristics Of Rainfall During Tropical Cyclone Periods In



Stayとvisitの意味の違いを解説 例文で使い分けも紹介します



謎の英単語230 日本人にはわからない 裏 の意味 Power English 27 Amazon Com Books



英語前置詞の意味論 Andrea Tyler Vyvyan Evans Tetsuya Kunihiro Tetsuya Kimura Amazon Com Books



意味不明な内容によるハッキングを解決する Web Fundamentals Google Developers



Japan Mobile Network Insights Opensignal



意味が通るように空所にf で始まり Leで終わる単語を答える問題です Clear



コロナの リバウンド は英語で何て言う 日刊英語ライフ



世界の英語方言 スラング大辞典 Lovey Dovey の意味 解説 用法 例文 恋愛のスラング



Experience エクスペリエンス の動詞 名詞での意味と使い方 ネイティブと英語について話したこと



英語 Serious Solemn Grave Earnest 真面目な の意味の違いと使い分け



Ndu の意味 Dell Community



この英語 日本語ではこういう意味 Amazon Com Books



New Word 言葉 心情 賢明



Reembraceとはどういう意味ですか 調べても出てきません Clear



ネイティブでも知らなかった Impromptu の意味 英語にも外来語はあるんです Fruitful Englishのおいしいブログ 英語の学び



Overの意味 使い方 読み方 Weblio英和辞書



Undergo の意味 使い方 Artisanenglish Jp ネイティブの英語 With David



簡単 スマートニュースを1分で英語設定にする方法や英語学習チャンネルを追加する方法を徹底解説 いろはに英語



Lietrの雑念ダイアリー 英語のサイトを見るのがとんでもなく捗るiphoneアプリ Tap English In The Web を試した



期間 Period と Term と Duration の違い 日本語と英語をつなぐ



Lincoln China Doug James



Who Can Relate ってどんな意味 日刊英語ライフ



Drop Off Gaba Style 無料で英語学習



Tricks Of The Trade の意味 使い方 Artisanenglish Jp 英会話



Manic Depression マニック デプレッション その意味とは 気になる英文 楽曲歌詞タイトル Yaqloqya



ネイティブでも知らなかった Impromptu の意味 英語にも外来語はあるんです Fruitful Englishのおいしいブログ 英語の学び



Experienced の意味 例文 発音 語源 イメージ画像 Kotoba



ここでいうphilosophyの意味はなんでしょうか 生き方 信条でいいのですか ま Clear



告示 公示 公告 の違いは 意味と使い方を解説 例文 語彙力 Com



英語 Take の意味 使い方 読み方 Weblio英和辞書



甚だ とは 意味 類語 使い方や例文 Meaning Book



Experience エクスペリエンス の動詞 名詞での意味と使い方 ネイティブと英語について話したこと



She Would Not Have Descubre Como Resolverlo En Qanda



この文章のwillは推量の意味らしいのですが 未来の意味はないのでしょ 英語 教えて Goo



Beyondの意味 使い方 読み方 Weblio英和辞書



オードリーaudrey It Took Me A While To Translate Kitase S Quote Because I Was Having Trouble Finding The Right Words To Translate いい意味で裏切る Literally A Betrayal In A Good Way I Interpreted



英語 Look の意味 使い方 読み方 Weblio英和辞書



Itc 001 翻訳に際して議論のあった用語について Acp Japan Chapter



かじぃかな Twitter પર 海外の方から意味を知りたいとの声を聞いたので 英語バージョンを作りました 楽しんでいただけるかな I Hope You Enjoy そして翻訳をして下さったzionさんに盛大な感謝を送ります I Am Very Thankful To Zionui For His Translation



注意 Sympathyとempathyの意味は違います カリフブログ



多様な意味を持つstrike Cafe De Fun Learning



Kyosho Ferrari Minicar Collection 8 Neo Ferrari 458 Italia



3分で英熟語解説 Do Withの意味 使い方 例文 言い換えなど 英語のイロハ 英熟語 英文法 英語のフレーズなどを楽しく学べる



3 番なんですけど The Very Camera ってどういう意味ですか Clear



Gaffe の意味 使い方 Artisanenglish Jp 英会話 ネイティブの英語



合ってますか 1 The Heaviest Snow That I Have Clear



意味のある言葉 のアイデア 78 件 言葉 インスピレーションを与える名言 モチベーションになる名言



注意 Sympathyとempathyの意味は違います カリフブログ



Experience エクスペリエンス の動詞 名詞での意味と使い方 ネイティブと英語について話したこと



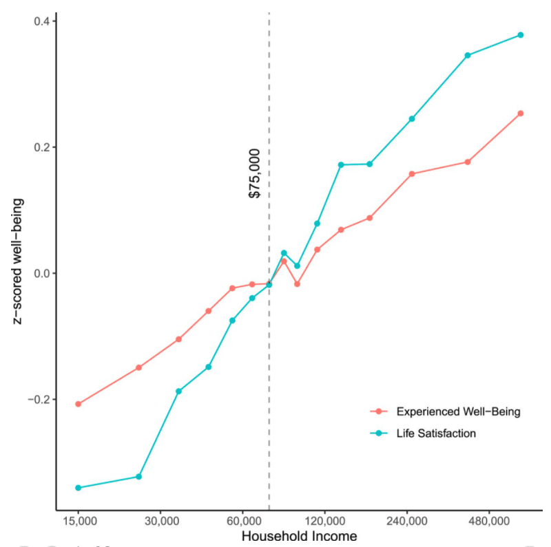
お金と幸せについて 1 年収1000万円で幸福度は飽和する はウソ ホント Taru Kuroda Note



Will There S Apparently An Issue Of Blackface Going On Here That Foreigners Are Trying To Parade Against But They Re Missing The Details So I M Going To Explain And Break



不手際 の意味と使い方 ビジネスやメールで使える例文つき Trans Biz



よく使う英語のイディオム First Handの意味と使い方 Eigo Lab



英語のイディオム In Good Handsの意味と使い方 Eigo Lab



Ithink My Parents Went Descubre Como Resolverlo En Qanda



英語でベテラン ネイティブの使い方は日本とちょっと違った ネイティブキャンプ英会話ブログ



Added By G91soho Instagram Post Origamic Architectural Cards The Design Is Inspired By Traditional Japanese Architectural Model Making Techniques Designed By Masahiro Chatani Origamicarchitecturalcards Masahirochatani Organchurch



Inの意味 使い方 読み方 Weblio英和辞書



3つの要点 Sugar Rush と Sugar Crash の違いと意味 Yoso Walk



What The Year Meant To Me 年对我意味着什么 You Write Read



プーさんの人生に効く名言 人生とは解くべき難問ではなく 体験してゆく旅なんだ スラング英語 Com



Pdf Meaning In Life Across Developmental Stages Among Japanese Adults Scores And Correlates日本人成人の発達段階による人生の意味の変化 得点レベルと関連要因の検討



Experience エクスペリエンス の動詞 名詞での意味と使い方 ネイティブと英語について話したこと



Break In Break Into Gaba Style 無料で英語学習



Are You Experienced 和訳 歌詞 ジミ ヘンドリックス The Jimi Hendrix Experience 廃墟の街のレコード店



Lietrの雑念ダイアリー 英語のサイトを見るのがとんでもなく捗るiphoneアプリ Tap English In The Web を試した



前置詞ofの使い方 覚え方のポイントは 弱いまとまり のイメージを理解すること



俄に はどんな意味 類義語や英語 使い方まで徹底解説 Chewy



プーさんの人生に効く名言 人生とは解くべき難問ではなく 体験してゆく旅なんだ スラング英語 Com



よく使う英語のイディオム First Handの意味と使い方 Eigo Lab



謎の英単語230 日本人にはわからない 裏 の意味 Power English 27 Amazon Com Books



Minced Oath 意味 英語 辞書 Minced Oath 日本語 定義



英語脳メルマガ 第028号 Japan S Fifth Largest City Sapporo Has Experienced Rapid Growth の意味は 英語脳ネット



Tell Me About It の意外な意味とその使い方とは ネイティブが解説するよ ペタエリ英語


0 件のコメント:
コメントを投稿